
Väl medveten om otillförlitligheten och vagheten i de svar herr Google kan ge på sådana spörsmål frågade jag i alla fall hur många som Stalin respektive Hitler hade tagit livet av. Mitt syfte var ju inte att grundforska utan bara att få ett hum om var samtiden står i denna fråga. Stalin noterades för 20 – 70 miljoner offer medan Hitler registrerades som tvåa med 30 miljoner offer. (Mao Zedong, som endast deltog utom tävlan i min undersökning, hamnade på 40 – 70 miljoner.)
Skälet till min erkänt ytliga granskning av ämnet är att jag på senare tid indignerat tillfrågats av två rättsinniga och av varandra oberoende personer varför det blir ett sådant hallå om nazistiska rötter hos sverigedemokraterna uppdagas medan vänsterpartiets gamla och otvetydiga kopplingar till kommunistiska mördare väger lätt vid bedömningen av vänsterpartiet som lämplig samarbetspartner eller i varje fall stödparti till en socialdemokratisk regering. Kort sagt är frågan varför det anses mindre betungande att ha ideologiska rötter hos kommunisterna än hos nazisterna. Hyggliga människor som själva inte tillhör någotdera lägret blir ofta upprörda av vad de betraktar som den officiella meningens uppenbara enögdhet i bedömningarna.
Jag säger som Johan Ludvig Runeberg (bilden) att därom kan jag ge besked, om herrn så vill, ty jag var med. Det handlar inte i huvudsak om dåligt omdöme utan om något mycket banalare, nämligen missdådarens naturliga ambition att sopa igen spåren efter sina genanta missbedömningar och fadäser.
På nittonhundrasextiotalet inleddes en kraftig expansion av det svenska universitetsväsendet. Nu skulle inte längre bara några enstaka procent av befolkningen beviljas högre utbildning utan tiotals procent. Oavsett vilka som varit de beslutfattande politikernas avsikter var det inte arbetarklassens barn som fyllde de nya högskolorna utan medelklassens. Jag var en av dem.
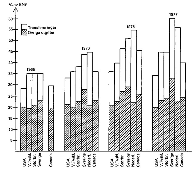
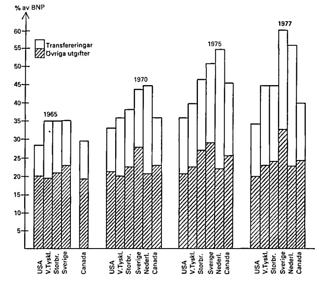
Jag kan inte minnas att vi universitets- och högskolestudenter funderade något särskilt på vad vi skulle syssla med efter avslutade studier men det kändes i kroppen vartåt det lutade. Folk har intuition. Den största samhälleliga omvälvning som stod för dörren var den offentliga sektorns våldsamma expansion. Följande vetenskapliga diagram från åttiotalet, när expansionen kommit en bit på väg, visar vad det handlade om:

Diagrammet visar utvecklingen av den offentliga sektorns andel av BNP i olika länder under tolvårsperioden 1965 – 1977. Nederländerna och Sverige leder ligan med Sverige som slutgiltig vinnare. På dessa tolv år ökades det offentligas andel av Sveriges BNP från 35 procent till 60 procent, en närmast ofattbart snabb tillväxt.
Alla, inklusive studenterna, kunde redan på sextiotalet ana denna utveckling. Den kändes i tidsandan. Framtiden betydde offentlig expansion och offentlig expansion betydde för universitetsstudenterna att man borde söka sig till staten ty det var där det skulle hända grejor, nya välfärdsprojekt, nya myndigheter, internationella uppdrag, kanske jobb på finansdepartementet etc.
Även om studenterna inte visste så mycket så hade de på känn att det var bättre att vara socialist än att vara konservativ eller liberal om man ville ha framgång i en växande offentlig apparat som ropade efter nya medarbetare. Det var liksom självklart att studenter sökte efter vänsteridéer för att passa in i den löftesrika framtiden. Man kunde ju inte vara liberal och ägna sin tid i myndigheten åt att på tvärs emot myndighetens egna tillväxtambitioner försöka hålla den offentliga sektorn i schack. Något ljushuvud påstod att TV2 vid starten 1969 bemannades av en vietnamdemonstration som gått vilse. Själv gick jag med i Vänsterpartiet Kommunisterna. Ännu bättre för mig hade det varit att gå med i socialdemokraterna.
Summan av kardemumman blev att den växande offentliga sektorn gradvis fylldes med olika slags rödgardister. Men när rödgardisterna avancerat i hierarkierna och nått sina ofta mäktiga samhälleliga positioner avtog den revolutionära glöden; de hade sällat sig till samhällets toppar och kunde väl inte göra uppror mot sig själva?
Med tiden slutade de fundera över betydelsen av freden vid Brest-Litovsk och Trotskijs avfall från den rätta läran och allteftersom tidsandan ändrades i mer konservativ riktning ägnade de sig alltmer åt att korrigera bilden av sitt förflutna. Själv lämnade jag mycket snart VPK och omdefinierade mitt medlemskap till en kortvarig ungdomssynd (vilket det ju faktiskt i mitt fall, liksom i många andras, också var).
Förstår du det rätta svaret på min Google-fråga? Det sena nittonhundratalets vänsterradikala studenter finns fortfarande kvar, inte sällan i inflytelserika positioner. De har ingen lust att brännmärka kommunismen eftersom risken alltid finns att sådant skulle kunna stänka lort på deras eget förflutna.
Men ingen av dessa framstående personer var någonsin nazist. Inget enda nazistyngel kunde återfinnas i den svenska högre utbildningen, i varje fall inte efter 1945. Det finns fullt av gamla kommunister i statsmedia och i journalistkåren i allmänhet men garanterat inga före detta Hitlerjugend.
Kunde det bli på något annat sätt än att Jimmie Åkesson får svettas mer än Nooshi Dadgostar?


